Calculer la Puissance d’un Nombre
Théorie
Décomposition d’une Puissance
La puissance d’un nombre se calcule en multipliant le nombre par lui-même. Une puissance est composée de 2 éléments :
- Une base qui indique le nombre à multiplier par lui-même.
- Un exposant qui indique le nombre de fois que la base est multipliée par elle-même.

La puissance 24 est composée d’une base (2) et d’un exposant (4). L’exposant se note en petit en haut à droite de la base.
Puissance d’un Nombre Positif
Lorsque la base est un nombre positif, la puissance se calcule en multipliant ce nombre positif par lui-même. L’exposant indique précisément la quantité de facteurs au sein de la multiplication.

Dans ces exemples, la base (3) est un nombre positif. L’exposant détermine le nombre de facteurs de la multiplication.
Il existe 2 cas particuliers à connaitre :
- Si l’exposant est 0, alors la puissance est toujours égale à 1.
- Si l’exposant est 1, alors la puissance est toujours égale à la base.

Un nombre élevé à la puissance 0 est toujours égal à 1.
Un nombre élevé à la puissance 1 est égal à lui-même.
Puissance d’un Nombre Négatif
La base d’une puissance dépend de la position de l’exposant :
- Si l’exposant est sur une parenthèse, la base est l’intérieur de la parenthèse (signe inclus).
- Si l’exposant est sur un nombre, la base est uniquement le nombre (signe non inclus).

Dans la 1re puissance, la base est l’intérieur de la parenthèse : -2.
Dans la 2e puissance, la base est uniquement le nombre : 2.
La règle des signes s’applique au calcul des puissances. Lorsque la base d’une puissance est un nombre négatif, le signe du résultat dépend de l’exposant :
- Un exposant pair donne un résultat positif.
- Un exposant impair donne un résultat négatif.

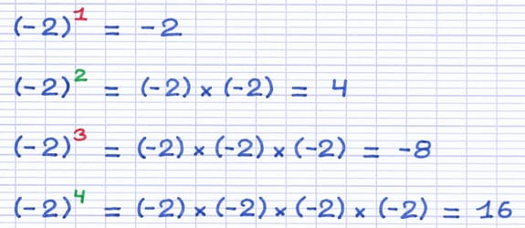
Dans ces exemples, la base (-2) est un nombre négatif.
Si l’exposant est pair (2, 4,...) alors le résultat est positif.
Si l’exposant est impair (1, 3,...) alors le résultat est négatif.
Si le nombre négatif n’est pas entre parenthèses, la base de la puissance est uniquement le nombre (signe non inclus). Dans ce cas, on multiplie d’abord le nombre par lui-même sans prendre en compte le signe négatif. On ajoute ensuite le signe négatif devant le résultat de la puissance.

La base de ces puissances est le nombre sans le signe négatif. Le signe négatif se place devant le résultat.
Lecture d’une Puissance
En règle générale, une puissance se lit "[base] puissance [exposant]" (24 se lit "2 puissance 4"). Il existe cependant 2 exceptions :
- Si l’exposant est 2, la puissance se lit "[base] au carré" (52 se lit "5 au carré").
- Si l’exposant est 3, la puissance se lit "[base] au cube" (93 se lit "9 au cube").

72 se lit "7 au carré".
73 se lit "7 au cube".
74 se lit "7 puissance 4".